Bonnaire, Urfin, Biroli & Mézard (2025, NeurIPS)
Why Diffusion Models Don’t Memorize: The Role of Implicit Dynamical Regularization in Training
1/26/2026
1.1. Diffusion Model とは?
1.2. 先行研究 (Biroli et al., 2024)
1.3. 本論文の要旨
A Blog Entry on Bayesian Computation by an Applied Mathematician
$$
$$
\text{Forward}\quad dX_t=-X_t\,dt+dB_t,\quad X_0\sim P_x, \text{Reverse}\quad dX'_t=-\biggr(X_t'+2s_t'(X_t')\biggl)\,dt+dB'_t.
ただし s_t'(x):=\nabla_x\log p_t'(x) は (X_t') の周辺密度 p_t' の Hyvärinen スコア.
(Tweedie’s Formula Efron, 2011) の系
\operatorname{E}\left[\frac{e^{-t}X_s-X_{s+t}}{\Delta_t}\,\middle|\,X_{s+t}=x\right]=\nabla_x\log p_{s+t}(x).
\Delta_t:=\sqrt{1-e^{-2t}} とすると \xi:=\frac{X_{s+t}-e^{-t}X_s}{\sqrt{\Delta_t}}\sim\operatorname{N}(0,1).
s\to\infty を考えて,次の損失関数が発想される: \mathcal{L}_t(\theta;\{x^\nu\}_{\nu=1}^n)=\frac{1}{n}\sum_{\nu=1}^n\operatorname{E}_\xi\left[\|\sqrt{\Delta_t}s_\theta(x_t^\nu(\xi))+\xi\|^2\right].
Memorization Regime = 過学習 (Biroli et al., 2024)
経験リスク最小化問題
\mathcal{L}_t(\theta;\{x^\nu\}_{\nu=1}^n)=\frac{1}{n}\sum_{\nu=1}^n\operatorname{E}_\xi\left[\|\sqrt{\Delta_t}s_\theta(x_t^\nu(\xi))+\xi\|^2\right].
を解き切ったらうまくいかない.理論的には \mathbb{P}_n からのサンプルを再現してしまう.
→ 実際には経験リスク最小化を解き切っていないはず.
Early stopping により汎化を達成しているのでは?
不完全なスコア学習+サンプリングでの数値誤差で汎化している???


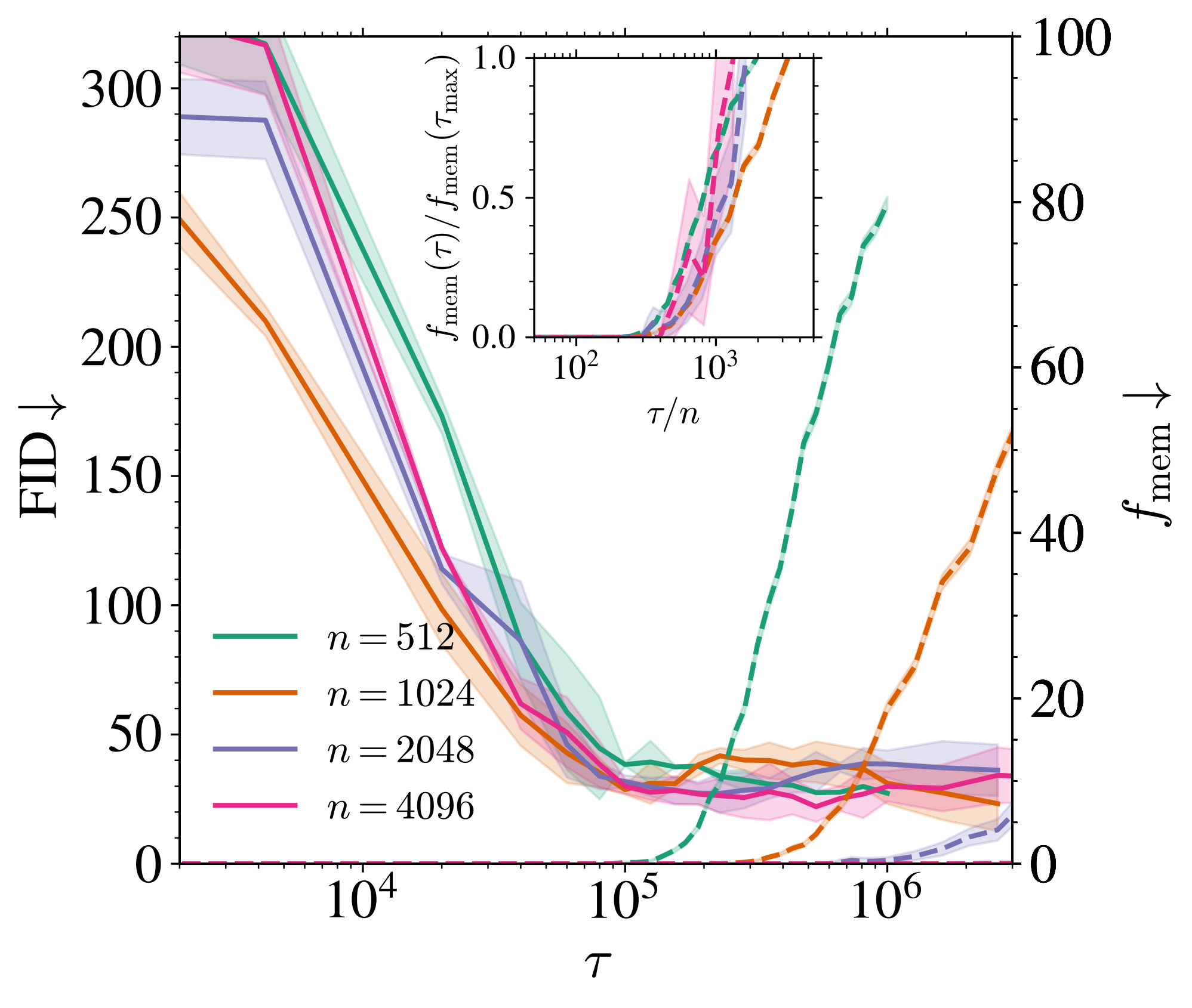
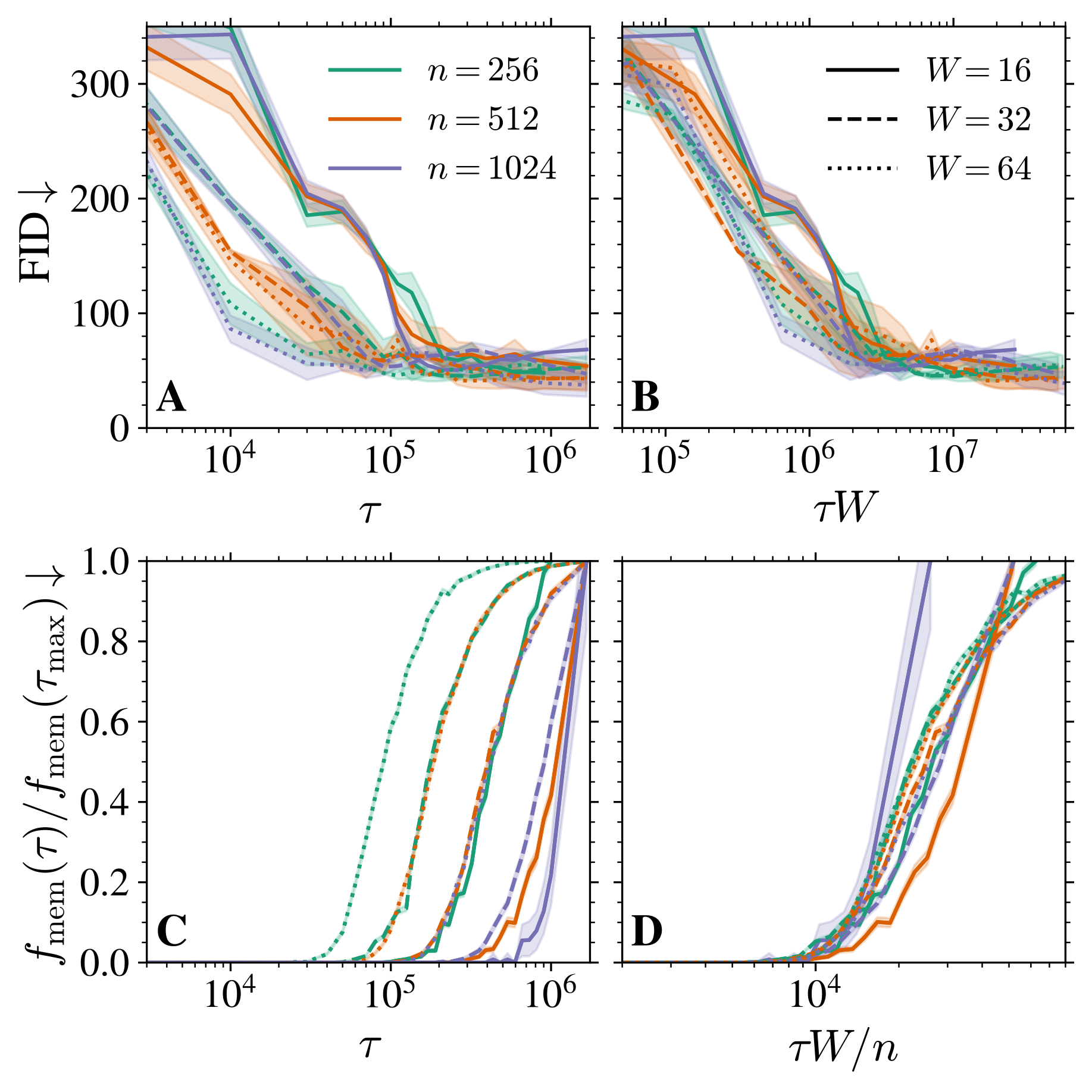
汎化が始まる時間は \tau_{\text{gen}}=O(1) だが,過学習が始まる時間は \tau_{\text{mem}}=O(n)
→ n が大きいほど early stopping の sweet spot が広い.
理論パートではスコア学習に特化して解析するので,
\text{スコア学習での汎化}\,\approx\,\text{Generative Model としての汎化}
を確認する必要がある (2.2).
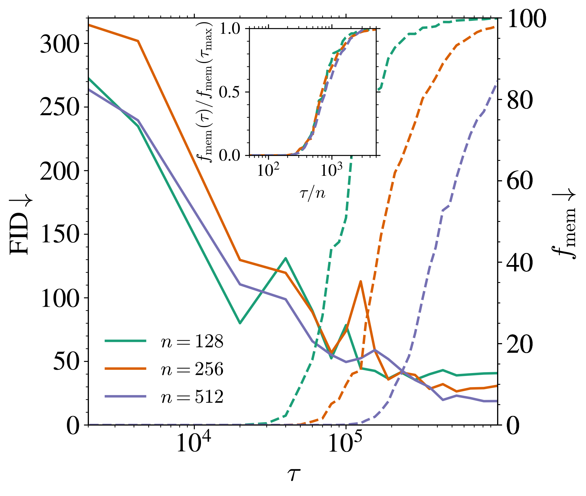
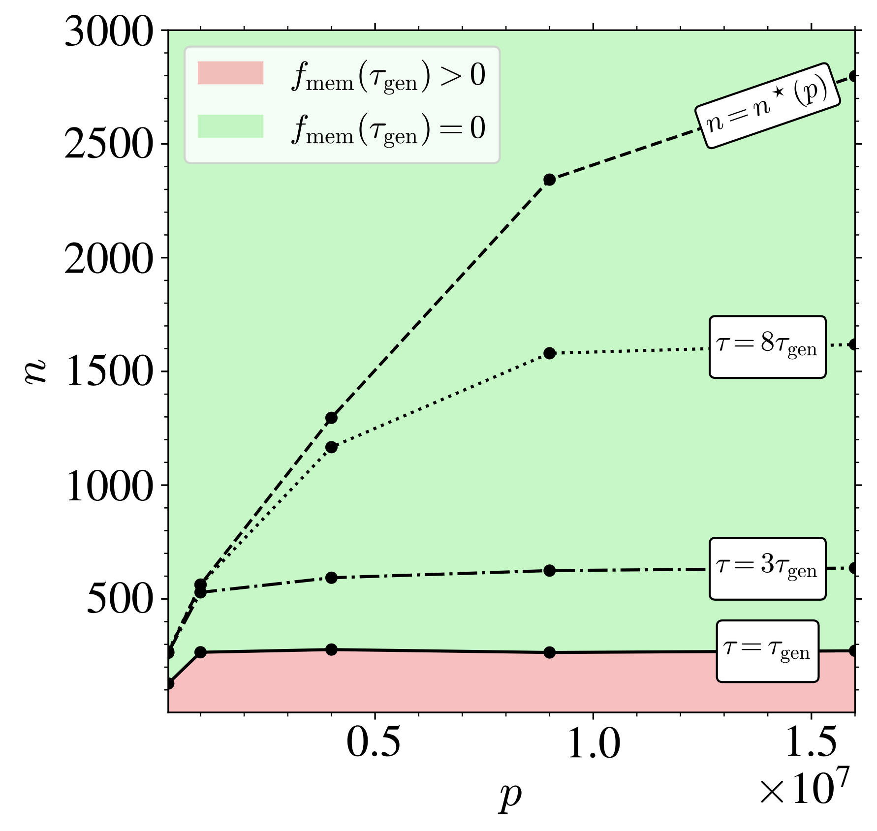
n\in\{128,\cdots,32768\}, p\in\{1/4,1,2,4,9,16\}\times10^6 を順に動かしていく



それでも同じスケーリングが見られる
→ 「モデルにサンプルを見せた回数」に依らない現象

\tau_{\text{gen}},\tau_{\text{mem}} が全体的に小さい方向へスライド
主要なスケーリングは変わらない

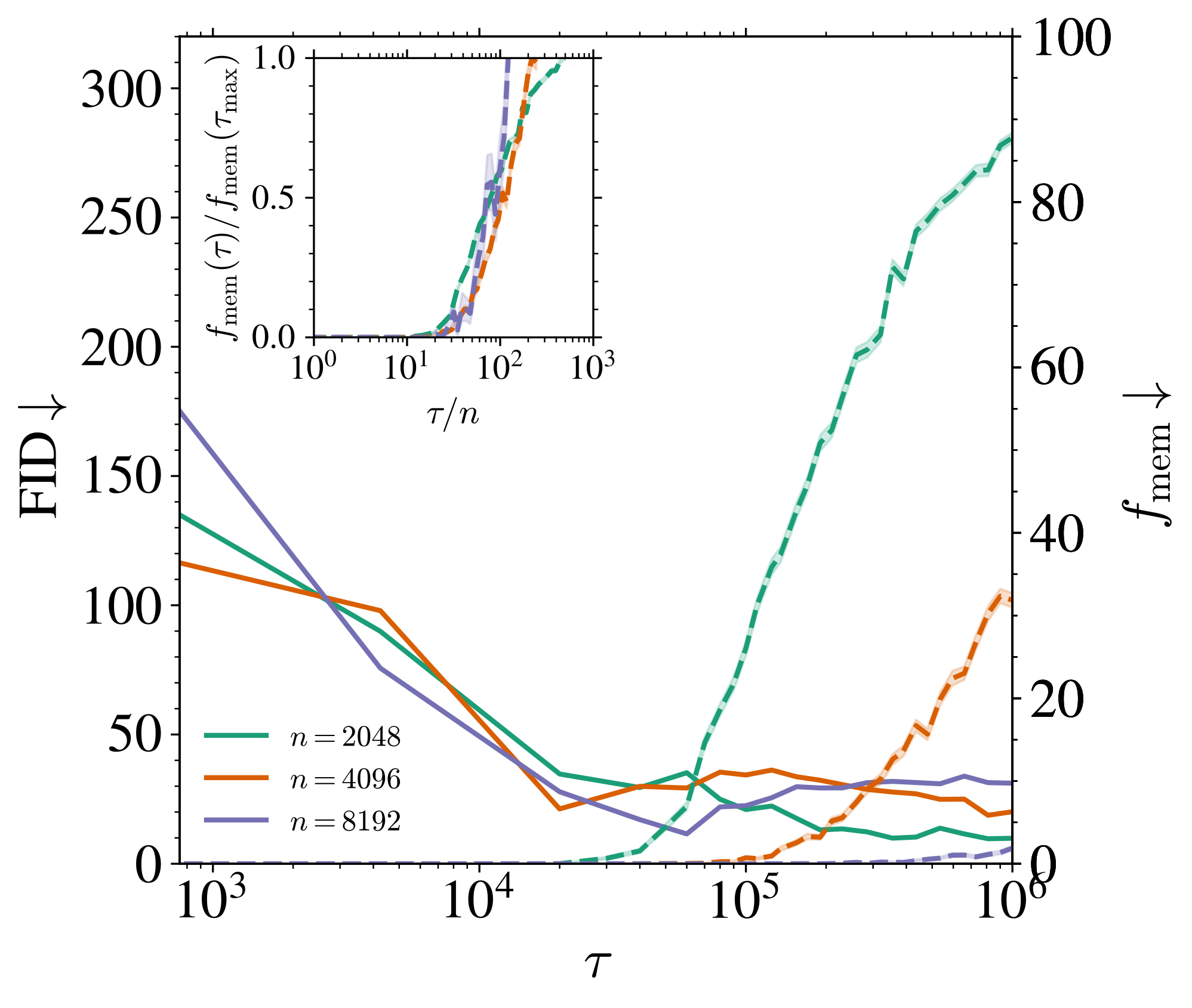
U-Net チャンネル数を増やす
Base channel width W
W\in\{8,16,32,48,64\}
→ p\in\{1/4,1,2,4,9,16\}\times10^6
FID が下がり始める時刻: \tau_{\text{gen}}W=O(1)
訓練データに酷似した生成が始まる時刻: \tau_{\text{mem}}W=O(n)

Memorization Regime
n が小さすぎると,FID が下がり始める瞬間 \tau_{\text{gen}} に memorization も起こる \tau_{\text{gen}}\approx\tau_{\text{mem}}\quad \textcolor{#EEC1C0}{p\gg n}
Architectural Regularization
n>n^*(p)\approx p\qquad(n,p\to\infty) を超えると,\tau\to\infty でも memorization は起こらない.
ランダム行列の経験スペクトル分布の極限に対するスケーリング解析
DSM loss での勾配降下法: A^{(k+1)}\gets A^{(k)}-\eta\nabla_A\mathcal{L}_t(A^{(k)}),\qquad k=0,1,2,\cdots \mathcal{L}_t(A)=\frac{1}{d}\left(\frac{\Delta_t}{p}\operatorname{Tr}(A^\top AU)+\frac{2\sqrt{\Delta_t}}{\sqrt{p}}\operatorname{Tr}(AV)+d\right)
時間変換 \tau(k):=k\eta/d^2 を施して,\eta\to0 の極限を取ると \dot{A}_\tau=-d^2\nabla_A\mathcal{L}_t(A_\tau)=-2\Delta_t\frac{d}{p}A_\tau U-\frac{2d\sqrt{\Delta_t}}{\sqrt{p}}V^\top,\qquad\tau\ge0, %:=\frac{1}{n}\sum_{\nu=1}^n\E[y^\nu (y^\nu)^\top] U:=\frac{1}{n}\sum_{\nu=1}^n\operatorname{E}_\xi\left[\sigma^{\otimes p}\left(\frac{Wx^\nu_t(\xi)}{\sqrt{d}}\right)\sigma^{\otimes p}\left(\frac{Wx^\nu_t(\xi)}{\sqrt{d}}\right)^\top\right], V:=\frac{1}{n}\sum_{\nu=1}^n\operatorname{E}_\xi\left[\sigma^{\otimes p}\left(\frac{Wx^\nu_t(\xi)}{\sqrt{d}}\right)\xi^\top\right].
訓練ダイナミクス (A_\tau)_{\tau\ge0} のスケール分離は,U のスペクトルの分布のスケール分離からくる. 特に,典型的な緩和時間は \Delta_tU/\psi_p の固有値の逆数が与える.
\dot{\textcolor{#E95420}{A}}_{\textcolor{#E95420}{\tau}}=-d^2\nabla_A\mathcal{L}_t(\textcolor{#E95420}{A_\tau})=-2\Delta_t\frac{d}{p}\textcolor{#E95420}{A_\tau} U-\frac{2d\sqrt{\Delta_t}}{\sqrt{p}}V^\top,\qquad\tau\ge0, は行列 A\in\mathbb{R}^{d\times p} に関する線型 ODE.U\in\mathrm{GL}_p(\mathbb{R}) なら Duhamel の公式から \frac{\textcolor{#E95420}{A_\tau}}{\sqrt{p}}=-\frac{1}{\sqrt{\Delta_t}}V^\top U^{-1}+\left(\frac{1}{\sqrt{\Delta_t}}V^\top U^{-1}+\frac{A_0}{\sqrt{p}}\right)\exp\left(-\frac{2\Delta_t}{\psi_p}U\textcolor{#E95420}{\tau}\right), \psi_p:=\frac{p}{d},\qquad\psi_n:=\frac{n}{d}.
U の経験スペクトル分布 \mu_U の Stieltjes transform は,resolvent R(z):=(U-zI_p)^{-1} の平均固有値が与える: q(z):=\frac{\operatorname{Tr}(R(z))}{p}=\frac{1}{p}\sum_{i=1}^pR(z)_{ii}=\int_{-\infty}^\infty\frac{1}{\lambda-z}\mu_U(d\lambda)\quad(z\in\mathbb{C}\setminus\mathbb{R}).
(IX.2.2 The Spectral Theorem Conway, 2007)
U を Hilbert 空間 H 上の正規作用素とする.このとき,ただ一つのスペクトル測度 E:\mathrm{Sp}(U)\to B(H) が存在して, U=\int_{\mathrm{Sp}(U)} \lambda E(d\lambda).
U の経験スペクトル分布 \mu_U の Stieltjes transform は,resolvent R(z):=(U-zI_p)^{-1} の平均固有値が与える: q(z):=\frac{\operatorname{Tr}(R(z))}{p}=\frac{1}{p}\sum_{i=1}^pR(z)_{ii}=\int_{-\infty}^\infty\frac{1}{\lambda-z}\mu_U(d\lambda)\quad(z\in\mathbb{C}\setminus\mathbb{R}).
Resolvent R(z) は f(\lambda)=(z-\lambda)^{-1} の E に関する積分: R(z)=\frac{1}{U-z}=\int_{\mathrm{Sp}(U)}\frac{1}{\lambda-z}E(d\lambda). \therefore\qquad R(z)_{ii}=(e_i|R(z)e_i)=\int_{-\infty}^\infty\frac{1}{\lambda-z}\mu_{e_i}(d\lambda). \mu_U=\frac{1}{p}\sum_{i=1}^p\mu_{e_i},\qquad \mu_{e_i}(A):=(e_i|E(A)e_i)\quad(A\in \mathcal{B}(\mathbb{R})).
q(z)=\operatorname{Tr}(R(z))/p を求めれば,\mu_U が復元できる:
(定理2.4.3 Anderson et al., 2011)
\mu を \mathbb{R} 上の確率測度, S_\mu(z):=\int_{-\infty}^\infty\frac{\mu(dx)}{x-z},\qquad z\in\mathbb{C}\setminus\mathbb{R} をStieltjes transform とする.任意の開区間 I\subset\mathbb{R} について,\mu が \partial I 上に atom を持たないならば \mu(I)=\lim_{\epsilon\to0}\int_I\frac{\mathrm{Im}\,S_\mu(\lambda+i\epsilon)}{\pi}\,d\lambda.
【証明】 任意の \lambda\in\mathbb{R} について,
\begin{align*} \mathrm{Im}\,\left(\frac{S_\mu(\lambda+i\epsilon)}{\pi}\right)&=\frac{S_\mu(\lambda+i\epsilon)-S_\mu(\lambda-i\epsilon)}{2\pi i}\\ &=\frac{1}{2\pi i}\int_\mathbb{R}\left(\frac{1}{x-(\lambda+i\epsilon)}-\frac{1}{x-(\lambda-i\epsilon)}\right)\,\mu(dx)\\ &=\frac{1}{2\pi i}\int_\mathbb{R}\frac{2i\epsilon}{x^2-2\lambda x+(\lambda^2+\epsilon^2)}\mu(dx)\\ &=\int_\mathbb{R}\frac{1}{\pi}\frac{\epsilon}{(x-\lambda)^2+\epsilon^2}\mu(dx),\qquad\lambda\in\mathbb{R}. \end{align*}
この右辺は実は X\sim\mu,C_\epsilon\sim\operatorname{Cauchy}(0,\epsilon) について X+C_\epsilon の分布の \lambda での確率密度である.X+C_\epsilon\Rightarrow X から結論が従う.
q を記述するための補助的な量(R(z) と W,\Sigma^{-1}W との overlap)を導入:
\scriptstyle r(z):=\frac{1}{p}\operatorname{Tr}(\Sigma^{1/2}W^\top(U-zI_p)^{-1}W\Sigma^{1/2}),\quad s(z):=\frac{1}{p}\operatorname{Tr}(W^\top(U-zI_p)^{-1}W),\quad z\in\mathbb{C}
(定理3.1 Bonnaire et al., 2025)
q(z)=\operatorname{Tr}(R(z))/p はランダム行列極限 d,p,n\to\infty で大数の法則が性質するとする.このとき,後述の仮定の下で,q は次の鞍点方程式の解が与える:
\begin{align*} \scriptstyle \widehat{s}(q)&\scriptstyle=b^2_t\psi_p+\frac{1}{q},\quad\hat{r}(r,q)=\frac{\psi_pa_t^2e^{-2t}}{1+\frac{a_t^2e^{-2t}\psi_p}{\psi_n}r+\frac{\psi_pv_t^2}{\psi_n}q},\quad s(z)=\int\frac{1}{\hat{s}(q)+\lambda\hat{r}(r,q)}\rho_\Sigma(d\lambda),\\ \scriptstyle r(z)&\scriptstyle=\int\frac{\lambda}{\hat{s}(q)+\lambda\hat{r}(r,q)}\,\rho_\Sigma(d\lambda),\quad\psi_p(s_t^2-z)+\frac{\psi_pv_t^2}{\scriptscriptstyle 1+\frac{a_t^2e^{-2t}\psi_p}{\psi_n}r+\frac{\psi_pv_t^2}{\psi_n}q}+\frac{1-\psi_p}{q}-\frac{s}{q^2}=0. \end{align*}
経験スペクトル極限の構造定理 (定理1.4 Péché, 2019)
ランダム行列 X\in\mathbb{R}^{d\times n},W\in\mathbb{R}^{p\times d} の成分はそれぞれ i.i.d. で,指数より軽い裾を持ち,(0,1) に正規化されているとする. f:\mathbb{R}\to\mathbb{R} が Schwartz 急減少関数ならば, 次の2つの行列 M,M' の経験スペクトル分布は漸近同等: M:=\frac{1}{d}f^{\otimes(p\times n)}\left(\frac{WX}{\sqrt{d}}\right)f^{\otimes(p\times n)}\left(\frac{WX}{\sqrt{d}}\right)^\top \scriptstyle M':=\frac{1}{n}\left(\sqrt{\theta_2(f)}\frac{WX}{\sqrt{d}}+\sqrt{\theta_1(f)-\theta_2(f)}Z\right)\left(\sqrt{\theta_2(f)}\frac{WX}{\sqrt{d}}+\sqrt{\theta_1(f)-\theta_2(f)}Z\right)^\top ただし,Z\in\mathbb{R}^{p\times n} は Gaussian random matrix で, \theta_1(f)=\operatorname{E}[f(Z_{11})^2],\quad\theta_2(f)=\operatorname{E}[f'(Z_{11})]^2=\operatorname{E}[Z_{11}f(Z_{11})]^2.
(補題C.1 Bonnaire et al., 2025)
上の3条件の下で,次の2つの行列 U,U' の経験スペクトル分布は漸近同等:
\begin{align*} \scriptstyle U&\scriptstyle:=\frac{1}{n}\sum_{\nu=1}^n\operatorname{E}_\xi\left[\sigma^{\otimes p}\left(\frac{Wx^\nu_t(\xi)}{\sqrt{d}}\right)\sigma^{\otimes p}\left(\frac{Wx^\nu_t(\xi)}{\sqrt{d}}\right)^\top\right]\\ \scriptstyle U'&\scriptstyle:=\frac{GG^\top}{n}+b_t^2\frac{WW^\top}{d}+s_t^2I_p,\qquad G:=e^{-t}a_t\frac{W}{\sqrt{d}}X'+v_t\Omega \end{align*}
X' は X の独立 copy,\Omega は独立な Gaussian random matrix.
\begin{align*} U&:=\frac{1}{n}\sum_{\nu=1}^n\operatorname{E}_\xi\left[\sigma^{\otimes p}\left(\frac{Wx^\nu_t(\xi)}{\sqrt{d}}\right)\sigma^{\otimes p}\left(\frac{Wx^\nu_t(\xi)}{\sqrt{d}}\right)^\top\right]\\ U'&:=\frac{GG^\top}{n}+b_t^2\frac{WW^\top}{d}+s_t^2I_p,\qquad G:=e^{-t}a_t\frac{W}{\sqrt{d}}X'+v_t\Omega \end{align*}
\sigma^2_x:=\operatorname{Tr}(\Sigma)/d,\;f_t(\xi,\eta):=\sigma(e^{-t}\sigma_x\eta+\sqrt{\Delta_t}\xi)\;\xi,\eta,\zeta\sim\operatorname{N}_1(0,1) とすると \begin{align*} b_t&:=\operatorname{E}[\xi f_t(\xi,\eta)],\qquad a_t:=\operatorname{E}\left[\frac{\eta}{e^{-t}\sigma_x} f_t(\xi,\eta)\right],\\ v_t^2&:=\operatorname{E}[f_t(\xi,\eta)f_t(\xi,\zeta)]-a_t^2e^{-2t}\sigma^2_x,\\ s^2_t&:=\operatorname{E}[\sigma(\Gamma_t\eta)^2]-a_t^2e^{-2t}\sigma^2_x-v_t^2-b_t^2,\qquad\Gamma_t:=e^{-2t}\sigma^2_x+\Delta_t. \end{align*}
Replica Trick (Bonnaire et al., 2025)
\frac{d\det(X)}{dX}\scriptstyle=\operatorname{Tr}(X^{-1})\det(X) より,1 \begin{align*} q(z)%&=-\frac{1}{p}\pp{}{z}\log\det(U-zI_p)\\ &=\frac{2}{p}\frac{\partial }{\partial z}\log\left(\det(U-zI_p)\right)^{-\frac{1}{2}}\\ &=2\frac{\partial }{\partial z}\lim_{p\to\infty}\frac{\operatorname{E}[\log Z(z)]}{p}\\ Z(z)&:=\frac{1}{(2\pi)^{\frac{p}{2}}}\int_{\mathbb{R}^p}e^{-\frac{\phi^\top(U-zI_p)\phi}{2}}\,d\phi \end{align*} 次の関係を用いて計算する: \log Z=\lim_{n\to\infty}\frac{Z^n-1}{n}.
Linearization (George et al., 2025)
U=FF^*/n と表せたとき, \begin{align*} L(z)&:=\begin{pmatrix} -z_pI&F^\top/\sqrt{n}\\ F/\sqrt{n}&I_n \end{pmatrix}\\ &\scriptstyle=B_0\otimes I+E_{12}\otimes F+E_{21}\otimes F^* \end{align*} という大きい行列 L(z)^{-1} の一部 (L(z)^{-1})_{11}=-(U+zI_p)^{-1} に R(z) が入る.この直線束 (linear pencil) 表現の \operatorname{Tr}(L(z)^{-1}) の計算が自由確率論 (free CLT) で出来る.
(定理3.2 Bonnaire et al., 2025)
U のランダム行列極限での極限固有値分布 \rho は次の表示を持つ:1
\rho(\lambda)=\left(1-\frac{1+\psi_n}{\psi_p}\right)\delta_{\{s_t^2\}}(\lambda)+\frac{\psi_n}{\psi_p}\rho_1(\lambda)+\frac{1}{\psi_p}\mu_{\widetilde{U}}(\lambda).
\rho(\lambda)=\left(1-\frac{1}{\psi_p}\right)\rho_1(\lambda)+\frac{1}{\psi_p}\mu_{\widetilde{U}}(\lambda).
ただし,\rho_1 とは……(続く)
証明は \psi_n,\psi_p\to\infty の近似の下で固定点方程式を解くことによる.
過剰パラメータ領域:\psi_p>\psi_n\gg1 のとき
\rho(\lambda)=\left(1-\frac{1+\psi_n}{\psi_p}\right)\delta_{\{s_t^2\}}(\lambda)+\frac{\psi_n}{\psi_p}\rho_1(\lambda)+\frac{1}{\psi_p}\mu_{\widetilde{U}}(\lambda).
特に,\psi_p/\psi_n\to\infty も仮定すると,\sup\mathrm{supp}\;(\rho_1)=O(\psi_p/\psi_n).
過剰パラメータ領域:\psi_n,\psi_p/\psi_n\to\infty のとき
\rho(\lambda)=\left(1-\frac{1+\psi_n}{\psi_p}\right)\delta_{\{s_t^2\}}(\lambda)+\frac{\psi_n}{\psi_p}\rho_1(\lambda)+\frac{1}{\psi_p}\mu_{\widetilde{U}}(\lambda). \sup\mathrm{supp}\;(\textcolor{#928EC3}{\rho_1})=O(\psi_p/\psi_n),\qquad\inf\mathrm{supp}\;(\textcolor{#E69252}{\mu_{\widetilde{U}}})=O(\psi_p/\psi_n\cdot\psi_n).


\rho_1 は \sigma^2_x:=\operatorname{Tr}(\Sigma)/d を通じてしかデータに依存しないので,2つの図で変わらない.
\tau_{\text{gen}}:=\frac{\psi_p}{\Delta_t}\inf\mathrm{supp}\;(\textcolor{#E69252}{\mu_{\widetilde{U}}})=O(1/\Delta_t). \tau_{\text{mem}}:=\frac{\psi_p}{\Delta_t}\inf\mathrm{supp}\;(\textcolor{#928EC3}{\rho_1})=O(\psi_n/\Delta_t). t>0 が大きく,n が大きいほど \tau_{\text{mem}} が大きい.

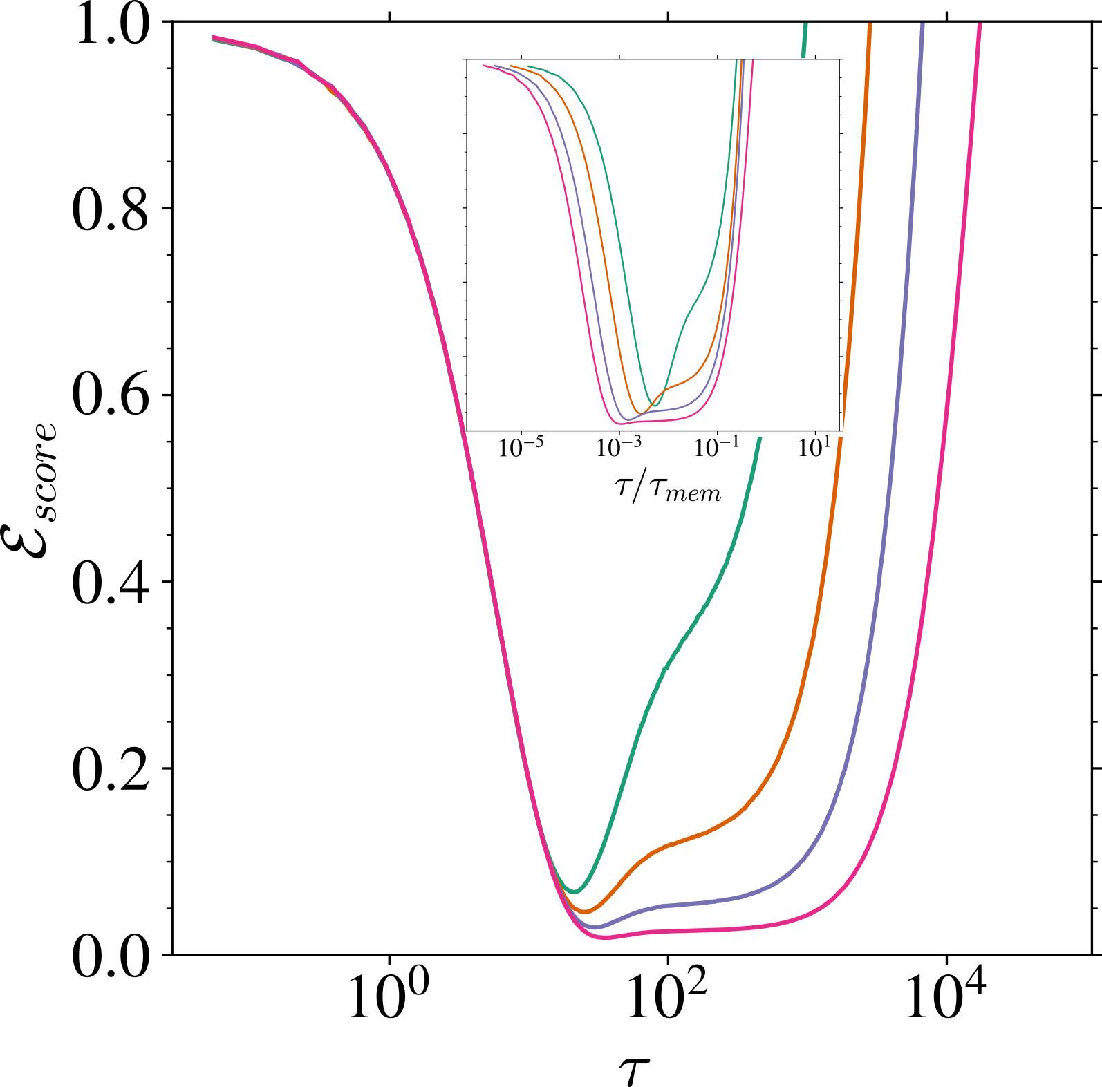
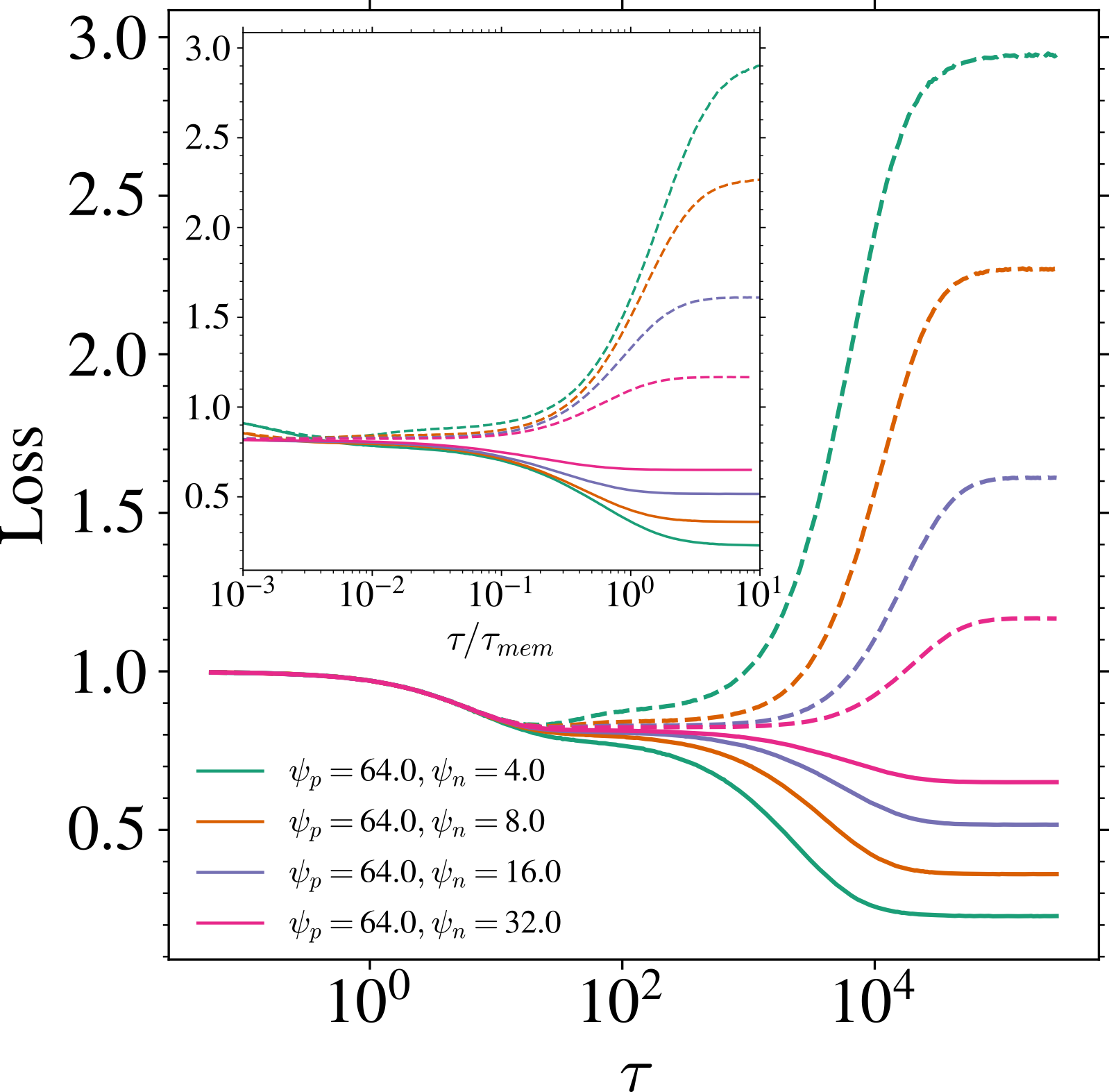
\mathcal{E}_{\text{score}}:=\frac{1}{d}\operatorname{E}_x\biggl[\|s_A(x)-\nabla\log P_x\|^2\biggr]

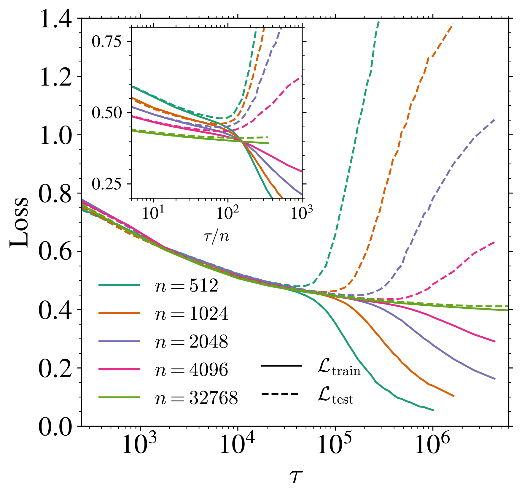
\tau_{\text{gen}} までの速いスケールでは,汎化ギャプ \mathcal{L}_{\text{gen}}=\mathcal{L}_{\text{test}}-\mathcal{L}_{\text{train}} が消える.
実は収束先も n が大きいほど汎化ギャップ \mathcal{L}_{\text{gen}}=\mathcal{L}_{\text{test}}-\mathcal{L}_{\text{train}} は低くなる (George et al., 2025).
ただし,パラメータ不足領域 \psi_p<\psi_n に侵入した場合は,時間スケールの分離は見られず,architectural regularization により \mathcal{L}_{\text{gen}}=\mathcal{L}_{\text{test}}-\mathcal{L}_{\text{train}} はさらに下がる.
t=0.01.縦の点線は \psi_n=\psi_p (Figure 5 George et al., 2025).\tau\to\infty の場合に対応.
なぜスケール分離が起こるのか?
\tau_{\text{mem}}=O(n) というのは,NN が経験スコアの高周波成分を学習するのにかかる時間が O(n) でスケールするのが見えている?